
Hrvatska ne proizvodi dovoljnu količinu hrane za potrebe vlastitog stanovništva.
I ptice na grani znaju da je gospodarstvo Hrvatske relativno neuspješno, a da je od svih gospodarskih grana u kojima je Hrvatska podbacila, što je, nažalost, većina, najgori rezultat ostvaren u poljoprivredi. Mnogi vole reći da Slavonija može hraniti pola Europe, no stvarnost je sasvim drugačija.
Hrvatska s nešto manje od 3 milijarde eura čini jedva 0,7 posto ukupne ostvarene godišnje vrijednosti u poljoprivrednoj industriji cjelokupne Europske unije. A pandemija, prekid opskrbnih lanaca i rat u Ukrajini nisu trgnuli državu da napravi bilo kakav korak kako bi povećali poljoprivrednu proizvodnju barem da zadovoljimo vlastite potrebe. I ne može se reći da se poljoprivredu zanemarivalo, daleko od toga.
Malo koja grana gospodarstva je bila pod toliko velikom "brigom" države i politike kao poljoprivreda, a, osim možda u brodogradnji, nema grane gospodarstva u kojoj su rezultati manje katastrofalni.
Hrvatska proizvodnja ne pokriva domaće potrebe
Poljoprivreda je temeljna grana gospodarstva neke zemlje i nema države u svijetu koja poljoprivredu ne subvencionira, a poljoprivreda je ostala jedna od rijetkih gospodarskih grana u kojoj čak i zemlje članice Europske unije vode protekcijsku politiku. Sjetimo se samo koliko su političkih ratova vodile Velika Britanija i Francuska ili Norveška oko ribarstva, odnosno stočarstva.
Stupanj samodostatnosti jedan je od važnijih pokazatelja stabilnosti i razvijenosti poljoprivrednog tržišta neke zemlje. On pokazuje u kojoj mjeri domaća proizvodnja pokriva sve potrebe, kako za ljude, tako i za stoku i industriju.
Ako je vrijednost 100, odnosno više, to znači da proizvodnja zadovoljava domaće zahtjeve, odnosno da prelazi domaće zahtjeve koji se pohranjuju ili izvoze, ako je manji, to znači da proizvodnja ne pokriva domaću proizvodnju. A mnogi se pitaju kakvo je onda stanje u hrvatskoj poljoprivredi po stupnju samodostatnosti?
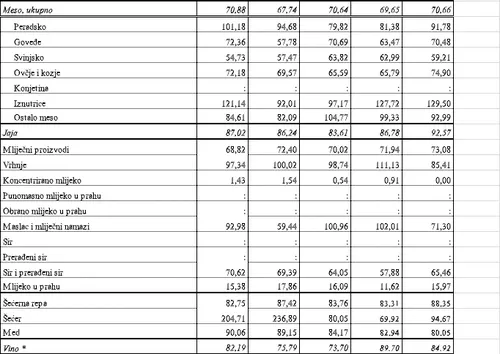
Na našu veliku žalost, Hrvatska ne proizvodi u dovoljnoj količini većinu poljoprivredno-prehrambenih proizvoda za potrebe vlastitog stanovništva. Nedostatna nam je proizvodnja kod svih kategorija mesa, mliječnih proizvoda, voća, povrća, biljnih ulja, jaja, meda, vina. U promatranom razdoblju smanjena je samodostatnost gotovo u svim kategorijama proizvoda.
Proizvodimo manje od pola naših potreba voća
Tako u kategoriji voća proizvodimo tek 44,66 posto naših potreba. Nevjerojatno, ali istinito, proizvodima jedva 1 posto (0,89) naranči za vlastite potrebe i 2,65 posto limuna. Trešnje, višnje i mandarine jedino je voće koje proizvodimo u dovoljnoj količini za naše potrebe, a iako smo poznata vinogradarska zemlja, odnosno volimo se tješiti da jesmo, stolnog grožđa za vlastite potrebe proizvodimo tek 19,70 posto. Ostatak se uvozi.
Malu pokrivenost potrošnje domaćom proizvodnjom bilježimo i kod povrća (63,11 posto). U toj kategoriji prehrambenih proizvoda rajčica i kupus su pobjednici pa proizvodnja rajčice pokriva 84,09, a kupusa čak 95,57 posto domaćeg tržišta. Proizvodnja krumpira pokriva 72 posto naših domaćih potreba.
Što se tiče mesa, domaća proizvodnja pokriva 70,66 posto naših potreba, a najmanje proizvodimo svinjetine pa to meso zadovoljava tek 59,21 posto domaće potražnje. S proizvodnjom peradskog mesa pokrivamo 91,78 posto naših potreba.
Domaća proizvodnja pokriva 92,57 posto tržišta jaja, a proizvodnja mlijeka i mliječnih proizvoda 73,08 posto naših potreba.
No zato "rasturamo" u proizvodnji pšenice sa 180 posto, kukuruza 180,31 posto, ječma 162, 95 posto, zobi, 104,45 posto. A u proizvodnji uljarica rušimo apsolutno sve rekorde. Soje proizvodimo čak 567,79 posto, suncokreta 211,85 posto, uljane repice 180,40 posto. Inače, žitarice Hrvatska najviše i subvencionira.
N1 pratite putem aplikacija za Android | iPhone/iPad i društvenih mreža Twitter | Facebook | Instagram.
Kakvo je tvoje mišljenje o ovome?
Pridruži se raspravi ili pročitaj komentare